Solving Equations

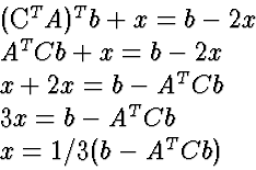
Say A and C are $m\times n$ and b and x are n-vectors. Solve for vector x:

\begin{eqnarraystar}
(C^T A)^T b + x &=& b - 2 x \ A^T C b + x &=& b - 2 x \ x...
 ...& b - A^T C b \ 3 x &=& b - A^T C b \ x &=& 1/3(b - A^T C b)\end{eqnarraystar}

Can solve lots of equations this way. What about Ax=b? Need a notion of matrix inverse.


next up previous
Next: SOLVING LINEAR SYSTEMS Up: MATRICES AND VECTORS Previous: Matrix Algebra