LU
-factorization
Algorithm
1.
If
a
11
= 0, fail!
2.
If
n
= 1, return
L
= 1 and
U
=
a
11
.
3.
Write
A
as
4.
Define
. (Schur complement, see CLR p.755)
5.
Recursively compute the
LU
-factorization of
A
1
A
1
& = &
L
1
U
1
6.
Return
Correctness of the algorithm
Show
1.
Base case --
2.
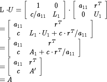
Otherwise --
Show
L
is lower-triangular and
U
is upper-triangular (Exercise)
Termination: # recursive calls
Operation count
Computing
A
1
(Schur complement) costs
operations
Solution?
Next:
PLU-factorization
Up:
SOLVING LINEAR SYSTEMS
Previous:
Expressing the Algorithm