Minimizing The Score

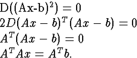
Recall from calculus that a differentiable function is minimized at the point at which the derivative is zero. Thus, we want to find

\begin{eqnarraystar}
D((Ax-b)^2) &=& 0 \ 2 D(Ax-b)^T (Ax-b) &=& 0 \ A^T (Ax-b) &=& 0 \ A^T A x &=& A^T b.\end{eqnarraystar}

Cool! It's just another system of linear equations to solve. (Thank goodness derivatives are linear operators!)


next up previous
Next: Example Up: LEAST SQUARES Previous: Least Squares in Matrices