Huffman Howto, Compsci 201, Spring 2013

The Program You Develop

You're given classes to read and write individual bits-at-a-time, these
are described below. You're also given a main program Huff.java that creates an instance of the non-functioning implementation of the IHuffProcessor interface named SimpleHuffProcessor. Choosing options from the GUI using this implementation as shown on the left, below, generates an error-dialog as shown on the right since none of the methods are currently implemented (they each throw an exception). You implement the methods for this assignment.

*huff main* *huff error*

When you write your methods in SimpleHuffProcessor to read or write bits you'll need to create either BitInputStream or BitOutputStream objects to read bits-at-a-time (or write them). Information and help on how to do this is given below, but you should probably scan this howto completely before coding.

Fast-reading and Out-of-memory

If your program generates an out-of-memory error when reading large files, use the Options menu in the GUI to choose Slow Reading as shown in the screen shot below.

slowreading option

This makes reading files slower but the GUI/View code won't map the entire file into memory before reading when you compress or uncompress a file.


Compressing using Huffman Coding

The three steps below summarize how compression works and provide some advice on coding.

  1. To compress a file, count how many times every bit-sequence occurs in a file. These counts are used to build weighted nodes that will be leaves in the Huffman tree. Although this writeup sometimes refers to "characters", you should use int variables/valuse in your code rather than char. Note that the method for reading bits-at-a-time from a BitInputStream returns an int, so using int variables makes sense (this might be different in the Burrows-Wheeler code you write.) Any wording in this write-up that uses the word character means an 8-bit chunk and this chunk-size could (in theory) change. Do not use any variables of type byte in your program. Use only int variables, or perhaps char variables if you implement the Burrows-Wheeler project.

  2. From these counts build the Huffman tree. First create one node per character, weighted with the number of times the character occurs, and insert each node into a priority queue. Then choose two minimal nodes, join these nodes together as children of a newly created node, and insert the newly created node into the priority queue (see notes from class). The new node is weighted with the sum of the two minimal nodes taken from the priority queue. Continue this process until only one node is left in the priority queue. This is the root of the Huffman tree.

  3. Create a table or map of 8-bit chunks (represented as an int value) to Huffman-codings. The map of chunk-codings is formed by traversing the path from the root of the Huffman tree to each leaf. Each root-to-leaf path creates a chunk-coding for the value stored in the leaf. When going left in the tree append a zero to the path; when going right append a one. The map has the 8-bit int chunks as keys and the corresponding Huffman/chunk-coding String as the value associated with the key.

    The map can be an array of the appropriate size (roughly 256, but be careful of PSEUDO_EOF) or you can use a Map implementation. An array is the simplest approach for this part of the huff/compress process, using a Map is not necessary, but it's fine to use one.

Once you've tested the code above you'll be ready to create the compressed output file. to do this you'll read the input file a second time, but the GUI front-end does this for you when it calls the method IHuffProcessor.compress to do the compression. For each 8-bit chunk read, write the corresponding encoding of the 8-bit chunk (obtained from the map of encodings) to the compressed file. You write bits using a BitOutputStream object, you don't write Strings/chars. Instead you write one-bit, either a zero or a one, for each corresponding character '0' or '1' in the string that is the encoding.

To uncompress the file later, you must recreate the same Huffman tree that was used to compress (so the codes you send will match). This tree might be stored directly in the compressed file (e.g., using a preorder traversal), or it might be created from 8-bit chunk counts stored in the compressed file. In either case, this information must be coded and transmitted along with the compressed data (the tree/count data will be stored first in the compressed file, to be read by unhuff. There's more information below on storing/reading information to re-create the tree.

Help With Coding

The sections below contain explanations and advice on different aspects of the code you'll write to compress data.

Pseudo-EOF character

(For more details, see the complete huffman coding discussion.)

The operating system will buffer output, i.e., output to disk actually occurs when some internal buffer is full. In particular, it is not possible to write just one single bit-at-a-time to a file, all output is actually done in "chunks", e.g., it might be done in eight-bit chunks or 256-bit chunks. In any case, when you write 3 bits, then 2 bits, then 10 bits, all the bits are eventually written, but you can not be sure precisely when they're written during the execution of your program. Also, because of buffering, if all output is done in eight-bit chunks and your program writes exactly 61 bits explicitly, then 3 extra bits will be written so that the number of bits written is a multiple of eight. Because of the potential for the existence of these "extra" bits when reading one bit at a time, you cannot simply read bits until there are no more left since your program might then read the extra bits written due to buffering. This means that when reading a compressed file, you should not use code like the loop below because the last few bits read may not have been written by your program, but rather as a result of buffering and writing bits in 8-bit chunks.

while (true) { int bit = input.readBits(1); // read one bit if (bit == -1) break; // done reading // process the read bit } To avoid this problem, there are two solutions: store the number of real bits in the header of the compressed file or use a pseudo-EOF character whose Huffman-coding is written to the compressed file. Then when you read the compressed file your code stops when the encoding for the pseudo-EOF character is read. The pseudocode below shows how to read a compressed file using the pseudo-EOF technique. TreeNode tnode = myHuffmanTreeRoot; while (true) { int bits = input.readBits(1); if (bits == -1) { throw new IOException("error reading bits, no PSEUDO-EOF"); } // use the zero/one value of the bit read // to traverse Huffman coding tree // if a leaf is reached, decode the character and print UNLESS // the character is pseudo-EOF, then decompression done if ( (bits & 1) == 0) tnode = tnode.myLeft; else tnode = tnode.myRight; if (at leaf-node in tree) { if (leaf-node stores pseudo-eof char) break; // out of while-loop else write-out character stored in leaf-node tnode = myHuffmanRoot; // start back at top } } } When you're writing the compressed file be sure that the last bits written are the Huffman-coding bits that correspond to the pseudo-EOF char. You will have to write these bits explicitly. These bits will be recognized and used in the decompression process. This means that your decompression program will never actually run out of bits if it's processing a properly compressed file (you may need to think about this to really believe it). In other words, when decompressing you will read bits, traverse a tree, and eventually find a leaf-node representing some character. When the pseudo-EOF leaf is found, the program can terminate because all decompression is done. If reading a bit fails because there are no more bits (the bit-reading method returns -1) the compressed file is not well formed. Your program should cope with files that are not well-formed, be sure to test for this, i.e., test unhuff with plain (uncompressed) files.

My program generates this error when such a file is found.

*unexpected eof*

In Huffman trees/tables you use in your programs, the pseudo-EOF character/chunk always has a count of one --- this should be done explicitly in the code that determines frequency counts. In other words, a pseudo-char EOF with number of occurrences (count) of 1 must be explicitly created.

In the file IHuffConstants the number of characters counted is specified by ALPH_SIZE which has value 256. Although only 256 values can be represented by 8 bits, these values are between 0 and 255, inclusive. One character is used as the pseudo-EOF character -- it must be a value not-representable with 8-bits, the smallest such value is 256 which requires 9 bits to represent. However, ideally your program should be able to work with n-bit chunks, not just 8-bit chunks.

Priority Queues

You're given a TreeNode that implements Comparable. You can use this class in storing weighted character/chunk objects in a priority queue to make a Huffman tree.

Creating a Map/Table from a Huffman-tree

(for more details, see the complete huffman coding discussion.)

To create a table or map of coded bit values for each 8-bit chunk you'll need to traverse the Huffman tree (e.g., inorder, preorder, etc.) making an entry in the map each time you reach a leaf. For example, if you reach a leaf that stores the 8-bit chunk 'C', following a path left-left-right-right-left, then an entry in the 'C'-th location of the map should be set to 00110. You'll need to make a decision about how to store the bit patterns in the map --- the answer for this assignment is to use a string whose only characters are '0' and '1', the string represents the path from the root of the Huffman tree to a leaf -- and the value in the leaf has a Huffman coding represented by the root-to-leaf path.

This means you'll need to follow every root-to-leaf path in the Huffman tree, building the root-to-leaf path during the traversal. When you reach a leaf, the path is that leaf value's encoding. One way to do this is with a method that takes a TreeNode parameter and a String that represents the path to the node. Initially the string is empty "" and the node is the global root. When your code traverses left, a "0" is added to the path, and similarly a "1" is added when going right.

... ... recurse(root.left, path + "0"); recurse(root.right, path + "1");

Writing Bits in the Compressed File

There are three steps in writing a compressed file from the information your code determined and stored: the counts and encodings. All this code is written/called from the IHuffProcessor.compress method which is called from the GUI after the IHuffProcess.preprocessCompress method has been called to set state appropriately in your model.

  1. Write a magic number at the beginning of the compressed file. You can access the IHuffConstants.MAGIC_NUMBER value either without the IHuffConstants modifier in your IHuffProcessor implementation (because the latter interface extends the former) or using the complete IHuffConstants.MAGIC_NUMBER identifier. When you uncompress you'll read this number to ensure you're reading a file your program compressed. Your program should be able to uncompress files it creates. For extra credit you should be able to process standard headers, specified by magic numbers STORE_COUNTS and STORE_TREE in the IHuffConstants interface. There's also a value for custom headers.

    For example, in my working program that only works with my compressed files, not other standard formats, I have the following code:

    // write out the magic number out.writeBits(BITS_PER_INT, MAGIC_NUMBER); then in another part of the class (in another method) int magic = in.readBits(BITS_PER_INT); if (magic != MAGIC_NUMBER){ throw new IOException("magic number not right"); }

    In general, a file with the wrong magic number should not generate an error, but should notify the user. For example, in my program the exception above ultimately causes the user to see what's shown below. This is because the exception is caught and the viewer's showError method called appropriately. Your code should at least print a message, and ideally generate an error dialog as shown.

    Header Information

  2. Write information after the magic number that allows the Huffman tree to be recreated. The simplest thing to do here is write ALPH_SIZE counts as int values, but you can also write the tree. Writing the counts will create a header in standard count format or SCF. This is a header of 255 counts, one 32-bit int value for each 8-bit chunk, in order from 0-255. You don't need a count for pseudo-EOF because it's one.

    In my non-saving-space code using SCF, my header is written by the following code. Note that BITS_PER_INT is 32 in Java.

    for(int k=0; k < ALPH_SIZE; k++){ out.writeBits(BITS_PER_INT, myCounts[k]); } This header is then read as follows, this doesn't do much, but shows how reading/writing the header are related. for(int k=0; k < ALPH_SIZE; k++){ int bits = in.readBits(BITS_PER_INT); myCounts[k] = bits; }

    Tree Header for Extra Credit

    To write the tree for extra credit, think about the 20 questions program.

    For example, you can use a 0 or 1 bit to differentiate between internal nodes and leaves. The leaves must store character values (in the general case using 9-bits because of the pseudo-eof character).

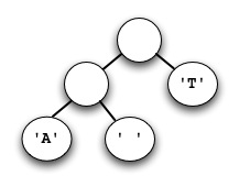
    For example, the sequence of 0's and 1's below represents the tree on the right (if you write the 0's and 1's the spaces wouldn't appear, the spaces are only to make the bits more readable to humans.)

       0 0 1 001100001 1 000100000 1 001110100
    
    small tree

    The first 0 indicates a non-leaf, the second 0 is the left child of the root, a non-leaf. The next 1 is a leaf, it is followed by 9 bits that represent 97 (001100001 is 97 in binary), the Unicode/ASCII code for 'a'. Then there's a 1 for the right child of the left child of the root, it stores 32 (000100000 is 32 in binary), the ASCII value of a space. The next 1 indicates the right child of the root is a leaf, it stores the Unicode/ASCII value for a 't' which is 116 (001110100 is 116 in binary).

    Your program can write these bits using a standard pre-order traversal. You can then read them by reading a bit, then recursively reading left/right subtrees if the bit is a zero (again, think about the 20-questions/animal program).

    Standard Tree Format in the Huff program/suite uses a pre-order traversal, a single zero-bit for internal nodes, a single one-bit for a leaf, and nine bits for the value stored in a leaf. For extra/A credit your program should be able to read/write this format.

  3. Write the bits needed to encode each character of the input file. For example, if the coding for 'a' is "01011" then your code will have to write 5 bits, in the order 0, 1, 0, 1, 1 every time the program is compressing/encoding the chunk 'a'. You'll re-read the file being compressed, look up each chunk/character's encoding and print a 0 or 1 bit for each '0' or '1' character in the encoding.

Implementing and Debugging

It's a good idea to either create more than one class to help manage the complexity in these programs or to add methods/code incrementally after each has been tested. Because the same data structures need to used to ensure that a file compressed using your huff algorithm can be decompressed, you should be able to share several parts of the implementation. You can use classes to exploit this similarity.

Debugging Code

Designing debugging functions as part of the original program will make the program development go more quickly since you will be able to verify that pieces of the program, or certain classes, work properly. Building in the debugging scaffolding from the start will make it much easier to test and develop your program. When testing, use small examples of test files maybe even as simple as "go go gophers" that help you verify that your program and classes are functioning as intended.

You might want to write encoding bits out first as strings or printable int values rather than as raw bits of zeros and ones which won't be readable except to other computer programs. A Compress class, for example, could support printAscii functions and printBits to print in human readable or machine readable formats.

We cannot stress enough how important it is to develop your program a few steps at a time. At each step, you should have a functioning program, although it may not do everything the first time it's run. By developing in stages, you may find it easier to isolate bugs and you will be more likely to get a program working faster. In other words, do not write hundreds of lines of code before compiling and testing

Using BitInputStream

In order to read and write in a bit-at-a-time manner, two classes are provided BitInputStream and BitOutputStream.

Bit read/write subprograms

To see how the readBits routine works, note that the code segment below is functionally equivalent to the Unix command cat foo --- it reads BITS_PER_WORD bits at a time (which is 8 bits as defined in IHuffConstants) and echoes what is read. int inbits; BitInputStream bits = new BitInputStream(new FileInputStream("data/poe.txt")); while ((inbits = bits.readBits(BITS_PER_WORD)) != -1) { System.out.println(inbits); // put writes one character } Note that executing the Java statement System.out.print('7') results in 16 bits being written because a Java char uses 16 bits (the 16 bits correspond to the character '7'). Executing System.out.println(7). results in 32 bits being written because a Java int uses 32 bits. Executing obs.writeBits(3,7) results in 3 bits being written (to the BitOutputStream obs) --- all the bits are 1 because the number 7 is represented in base two by 000111.

When using writeBits to write a specified number of bits, some bits may not be written immediately because of buffering. To ensure that all bits are written, the last bits must be explicitly flushed. The function flush must be called either explicitly or by calling close.

Although readBits can be called to read a single bit at a time (by setting the parameter to 1), the return value from the method is an int. You'll need to be able to access just one bit of this int (inbits in code above). In order to access just the right-most bit a bitwise and & can be used:

int inbits; BitInputStream bits = new BitInputStream(new FileInputStream("data/poe.txt")); inbits = bits.readBits(1); if ((inbits & 1) == 1) // do stuff because the bit read was 1 else // do stuff because the bit read was 0 Alternatively, you can mod by 2, e.g., inbits % 2 and check to see if the remainder is 0 or 1 to determine if the right-most bit is 0 or 1. Using bitwise-and is faster than using mod, but this speed is minor compared to what you'll spend reading the file.

InputStream objects

In Java, it's simple to construct one input stream from another. The Viewer/GUI code that drives the model will send an InputStream object to the model for readable-files, it will also send an OutputStream for writeable-files. The client/model code you write will need to wrap this stream in an appropriate BitInputStream or BitOutputStream object.

public int uncompress(InputStream in, OutputStream out) ... BitInputStream bis = new BitInputStream(in); ...

Of course exceptions may need to be caught or rethrown. For input, you'll need to always create a BitInputStream object to read chunks or bits from. For the output stream, you may need to create a BitOutputStream to write individual bits, so you should create such a stream -- for uncompressing it's possible to just write without creating a BitOutputStream using the OutputStream.write method, but you'll find it simpler to use BitOutputStream.writeBits method.


Forcing Compression

If compressing a file results in a file larger than the file being compressed (this is always possible) then no compressed file should be created and a message should be shown indicating that this is the case. Here's a screen shot from what happens in my program.

*force*

You can choose a force compression option from the GUI/Options menu. If this is chosen/checked, the value of the third parameter to IHuffProcessor.compress is true, and your code should "compress" a file even though the resulting file will be bigger. Otherwise (force is false), if the compressed file is bigger, your program should not compress and should generate an error such as the one shown above.

Same File Uncompressed/Diff

When you compress a file, e.g., foo.txt to foo.txt.hf and then uncompress it to foo.txt.unhf, you'll want to see whether the .unhf file is the same as the original. For very small text files you can verify this by eyeballing the file. But for large files, and for non-text files (e.g., .jpg, .mp3) you'll need a program to help with this.

To help with this you can use the Diff.java program. Launching this will prompt you to choose files. You should select two files, not just one. To select two files use either command-click or control-click according to Mac/Windows to select the second file. The program will then tell you whether the two files you've chosen are the same or are different. On Linux and Macs there's a command-line tool called diff that does this, but the Java program can be used for purposes of the Huffman assignment.